Connecting Contexts - How ALB Tutoring Scaffolds Students' Learning and Studying

Learning is cumulative. Concepts build on one another. Consider math: in order to solve a quadratic equation, students apply insight they have learned throughout their entire mathematical career. Arithmetic, exponent properties, factoring, and graphing are all involved. As students grow and are exposed to new information, they need stable and accurate bases of knowledge from which to operate.

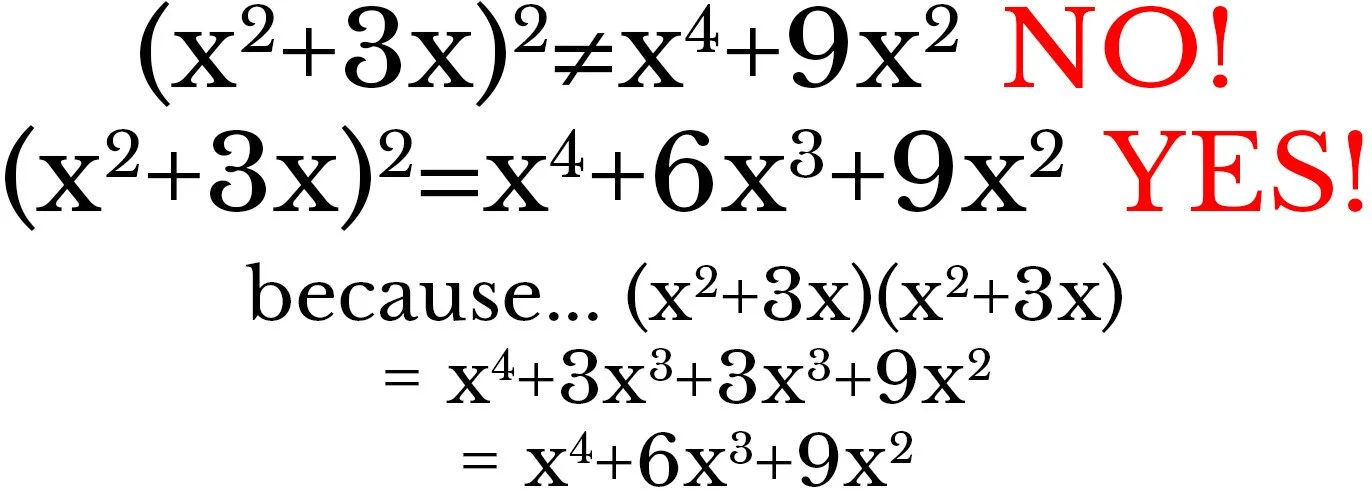
A common algebraic misconception.

Now, what happens when this knowledge includes misconceptions, like the one to the right? When students apply these misunderstandings to future learning, they carry faulty intelligence along with them. “The sooner they are uncovered and corrected, the better.” Though misunderstandings are inevitable - we are all humans after all - ALB Tutoring helps students connect contexts to avoid and correct these misconceptions by:

  1. Preemptively addressing common misconceptions when discussing a topic.

    Common misconception: all conjunctions should be introduced with a comma.

    Correction: FANBOYS conjunctions (for, and, nor, but, or, yet, so) are introduced with a comma to connect two clauses, but only when subjects are in both clauses. (This sentence is an example… no comma is used, can you identify why?)

  2. Creating connections between content so students understand the root, cause, and theory. This reinforces a stable base of knowledge.

    Example: Math does not exist in a vacuum. ALB Tutoring students them realize, for example, that the (x,y) coordinate points, synthetic division, and varying methods of factoring all stem from the graph of an equation. By establishing this connection, students problem-solve with numerous strategies. They are resourceful in accessing their knowledge to apply their deeper understanding.

  3. Using relatable examples, analogies, and metaphors to help students comprehend more abstract, complex concepts. This helps synthesize the relationship between ideas and promotes increased comprehension.

  4. Calling on former topics to bridge a deeper connection; this often results in an “ah-ha” moment of enlightenment.

    Example: Guiding students to recall electron configurations they learned in chemistry to apply to atomic physics problems.

A quadratic problem from a student session. Connections are made between concepts.

When students collaborate with ALB Tutoring in reviewing classroom lessons and preparing for assessments, study skills are addressed, but so is the larger picture: the connection between concepts and ideas. After all, establishing connections is a function of the maturing mind. This excellent practice is an enlightening way for students to learn. ALB Tutoring takes this to the next level by challenging students to forge these connections on their own, resulting in a new level of achievement.

Contact ALB Tutoring to help your student learn better.

Johnson, J. A., Musial, D., Hall, G. E., & Gollnick, D. M. (2018). Foundations of American education: Becoming effective teachers in challenging times (17th ed.). Upper Saddle River, NJ: Pearson.

Previous
Previous

Note Taking: A Life Skill

Next
Next

Writing with ALB Tutoring